1. Conversion formula
JJF 1012-2007 In Terms and Definitions of Humidity and Moisture Measurement, relative humidity is defined as the percentage [13] of the mole fraction of water vapor in moisture to the mole fraction of saturated water vapor under the same temperature and pressure conditions. When the moisture is regarded as an ideal gas, the conversion formula of dew point and relative humidity can be deduced from the gas equation of state and the Dalton partial pressure theorem

For the relative humidity of the measured gas,% RH; f is the value added coefficient of the measured gas (a function of temperature and pressure of the measured gas, calculated by the Hardy formula); Td is the measured gas dew point or frost point, ℃ DP; T is the measured gas temperature; ℃; p is the measured gas pressure; Pa; es is the vapor pressure of pure water surface or ice surface (a function of temperature, here calculated by the Sonntag formula), Pa.
Water surface and ice surface correspond to dew point and frost point, respectively, and are calculated by different saturated steam pressure formula and value-added coefficient formula. Overcooled water with a temperature lower than 0℃ on the ground is an unstable state, so when Td is less than 0℃ DP, it is generally considered as the frost point, unless the instrument has the function of distinguishing the dew point and expressing the dew point, it is calculated as the dew point.
In addition, when the temperature T is less than 0℃, the cold water surface (dew point) is used for meteorological monitoring, ice surface (frost point).
2. The influence of the value-added coefficient
In order to determine the influence of the value-added coefficient in the dew point and relative humidity conversion, first a set of different dew point parameters under normal temperature and atmospheric pressure substitution formula (1) to calculate the relative humidity, and then the group of parameters under the default value coefficient 1 substitution formula (1), compare the two calculation results, as shown in table 1, known that the difference between the two at room temperature and atmospheric pressure is less than 0.01% RH, generally ignore the value-added coefficient. Because the pressure only affects the value-added coefficient, the pressure is not measured when converting the dew point and relative humidity at room temperature and normal pressure.
Table 1. Impact of the value-added coefficient

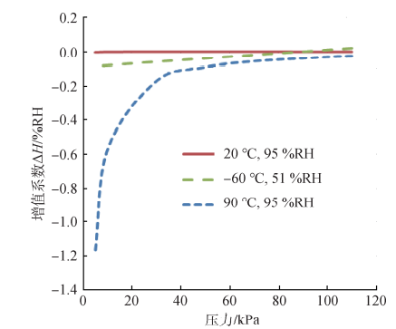
Then different temperature, pressure and dew point parameters are added into the formula (1) to calculate the relative humidity, and the results are shown in Figure 1, showing the effect of the value-added coefficient on the conversion results of dew point and relative humidity at room temperature, low temperature increases slightly and at high temperature, especially at high and low pressure, more than 1% RH.

Figure 1 Effect of value-added coefficient on dew point and relative humidity conversion results under different temperature and pressure conditions
3. Verification of the relative humidity conversion results of the precision dew point instrument
Select many commonly used precision dew point instrument, test on double temperature and double pressure humidity generator, test the temperature, dew point and pressure of the precision dew point instrument (for no pressure, the actual pressure of the humidity generator test room), calculate the calculation results with the relative humidity value of the dew point meter, to verify the accuracy of the relative humidity conversion results of the dew point instrument.
The test was conducted at atmospheric pressure (102.10 kPa), with the double temperature, double pressure and humidity generator value as the standard value, the positive dew point at normal temperature was 20℃ and 80.0% RH, and the negative dew point was 20℃ and 10.0% RH. The test site at negative temperature is-30℃, 80.0% RH (calculated by ice surface). The test validation results are presented in Tables 2 and and 3.
Table 2. Validation results at room temperature

Table 3 Validation results at negative temperature

As can be seen from Table 2, the difference of the relative humidity of all dew points except one instrument (OPV) does not exceed 0.03% RH as calculated by equation (1). However, the relative humidity display value of the instrument OPV is quite different from the value calculated by formula (1), because the resolution of dew point and temperature is 0.1℃, while the resolution of the other instruments is 0.01℃ (the actual resolution inside the instrument is even higher).
In negative dew point, four with dew point identification function of dew point instrument, there are three instrument relative humidity display value and according to (1) calculation value is not more than 0.01% RH, and the new S8000 Remote instrument relative humidity display value and (1) the calculation of the difference is larger, the reason is that the instrument dew frost point identification function is not perfect, the dew point as frost point calculation.
The other four dew point instruments do not have the function of dew frost point identification (although some have observation Windows, but in fact it is difficult to identify dew frost points only by the human eye) and cannot be applied to negative dew points. For comparison, the test data are also listed here. After calculation, the relative humidity of these four instruments is calculated according to the frost point in the negative dew point, but the actual value is closer to the dew point. Of course, the formation of dew / frost has a lot to do with the test conditions, and is not invariable, so the instrument without the function of dew point recognition can theoretically be used for negative dew point measurement.
In addition, from table 2, many dew frost point identification function, although the negative dew point relative humidity display value and adopt the standard conversion method of frost point calculation formula is very consistent, but the relative humidity actual value, shows that although the instrument built-in frost point and relative humidity conversion formula is correct, but they of dew frost point discrimination is wrong, cause the result is completely wrong.
There are few precision dew point instruments to measure relative humidity at negative temperature. An instrument is tested here and the pumping method is used, and the results are shown in Table 3 (during calculation, es (T), the ice saturated water vapor pressure is used in formula (1), and the display gear of the instrument is set as "RH" rather than "RHWHO"). According to Table 3, the relative humidity display value of the instrument is consistent with the value obtained by the standard conversion method (only 0.01% RH) and consistent with the actual value of relative humidity.
4. Conclusion
According to the conversion formula of dew point and relative humidity, the value-added coefficient has little influence on the conversion result of dew point and relative humidity under the room temperature and pressure, and has some influence at high temperature and low pressure, which cannot be ignored. Because the pressure only affects the value-added coefficient, the pressure can not be measured when converting the dew point and relative humidity at normal temperature and normal pressure.
This formula is used to verify the built-in relative humidity conversion results of many commonly used precision dew point instruments. The results show that the deviation between the relative humidity display value of the instrument with 0.01℃ resolution and the calculated value is not more than 0.03% RH, while the deviation between the relative humidity display value of the instrument with 0.1℃ resolution is large. In the negative dew point, in the nominal dew point instrument with the dew frost point recognition function, there are three instruments with a deviation not more than 0.01% RH, and the other one has a large deviation. It can be seen that the 0.1℃ resolution instrument is difficult to meet the requirements as a relative humidity standard.
For the instrument with the discrimination function of dew frost point, the results show that the difference between the relative humidity and the frost point is great, and the actual relative humidity, so it cannot be used for the measurement of relative humidity at negative dew point.
The above conclusions have important reference significance for the practical application of precision outpoint instrument.




Tel
Product
Contact
Home